Fingolimod
Showing 17–32 of 46 results
-

Diethyl 2-(acetylamino)-2-(2-phenylethyl)malonate
Read moreCAS No : 5463-92-3 Molecular Formula : C 17 H 23 N O 5 Molecular Weight : 321.37 CAT No : In Stock : In Stock -

Fingolimod
Read moreCAS No : 162359-55-9 Molecular Formula : C 19 H 33 N O 2 Molecular Weight : 307.47 CAT No : In Stock : In Stock -

Fingolimod Decyl Impurity / Fingolimod EP Impurity D
Read moreCAS No : 780729-32-0 Molecular Formula : C 21 H 37 N O 2 Molecular Weight : 335.52 CAT No : In Stock : In Stock -

Fingolimod Di-O-Acetyl Impurity
Read moreCAS No : NA Molecular Formula : C 23 H 37 N O 4 .Cl H Molecular Weight : 427.25 CAT No : In Stock : Enquiry -

Fingolimod Dimethylamino Hydrochloride Impurity
Read moreCAS No : 1404233-81-3 Molecular Formula : C 21 H 37 N O 2 . Cl H Molecular Weight : 371.99 CAT No : In Stock : In Stock -

Fingolimod Dimethylamino Impurity
Read moreCAS No : 1404433-87-9 Molecular Formula : C 21 H 37 N O 2 Molecular Weight : 335.52 CAT No : In Stock : Enquiry -

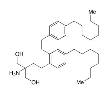
Fingolimod EP Impurity E
Read moreCAS No : 851039-25-3 Molecular Formula : C 35 H 57 N O 2 Molecular Weight : 523.83 CAT No : In Stock : Enquiry -

Fingolimod EP Impurity F
Read moreCAS No : 851039-24-2 Molecular Formula : C 35 H 57 N O 2 Molecular Weight : 523.83 CAT No : In Stock : Enquiry -

Fingolimod EP Impurity I
Read moreCAS No : 249289-10-9 Molecular Formula : C 21 H 35 N O 3 Molecular Weight : 349.51 CAT No : In Stock : Enquiry -

Fingolimod Heptyl Impurity
Read moreCAS No : 745767-97-9 Molecular Formula : C 18 H 31 N O 2 Molecular Weight : 293.44 CAT No : In Stock : In Stock -

Fingolimod Hexyl Impurity / Fingolimod EP Impurity A
Read moreCAS No : 1201794-93-5 Molecular Formula : C 17 H 29 N O 2 Molecular Weight : 279.42 CAT No : In Stock : In Stock -

Fingolimod Impurity 32
Read moreCAS No : 2741267-35-4 Molecular Formula : C 24 H 37 N O 5 Molecular Weight : 419.55 CAT No : In Stock : In Stock -

Fingolimod Methyl Impurity
Read moreCAS No : 162361-47-9 Molecular Formula : C 20 H 35 N O 2 Molecular Weight : 321.5 CAT No : In Stock : Enquiry -

Fingolimod Monohydroxy Methyl Hydrochloride Impurity
Read moreCAS No : 168560-42-7 Molecular Formula : C 18 H 31 N O . Cl H Molecular Weight : 313.91 CAT No : In Stock : Enquiry -

Fingolimod Monohydroxy Methyl Impurity
Read moreCAS No : 177260-59-2 Molecular Formula : C 18 H 31 N O Molecular Weight : 277.44 CAT No : In Stock : In Stock -

Fingolimod N-Ethyl Hydrochloride Impurity
Read moreCAS No : 1402702-70-8 Molecular Formula : C 21 H 37 N O 2 . Cl H Molecular Weight : 372.02 CAT No : In Stock : Enquiry