Posaconazole

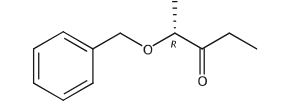
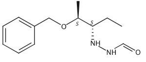
Posaconazole Formyl Impurity (R-isomer)Oxalic Acid Salt -Stage-1

CAS No : 151670-13-2
Molecular Formula : C 7 H 13 N O 2
Molecular Weight : 143.18
CAT No :
In Stock : In Stock
Category:

Stock Inventory Details

Available Quantity:

Vendor Name:

Received Quantity:

Received On:

Customer Name:

Quantity Sent:

Invoice No.:

Data Status: